前の画像
次の画像
記事へ
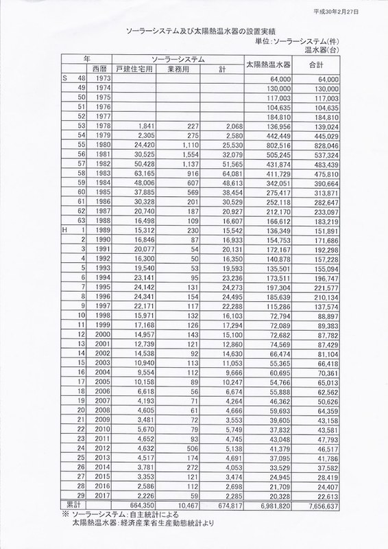
ソーラーシステムおよび太陽熱温水器の設置実績。1980年をピークにどんどん下がり続けている
藤本健のソーラーリポート
空き容量ゼロはウソ!? 再生可能エネルギーの現状と将来を京大教授に聞く
2018年3月7日
コラム家庭向け太陽光発電システムって実際どう?
“ソーラーマニア”藤本健が体験した5年間
2010年11月5日
東京ガス、バルコニーの太陽光で給湯するマンション向け温水システム「SOLAMO」
2010年2月5日
ノーリツ、家庭の給湯エネルギーの約半分を太陽熱でまかなう給湯システム
2013年3月4日
ブロックチェーンで“再エネ電力100%宣言”にチャレンジする「みんな電力」
2018年6月25日